A Microwave Oven Operates At 3.00 Ghz . What is the wavelength of the radiation produced by this appliance? Now, hertz is defined as one cycle per second. to calculate the wavelength of the radiation produced by a microwave oven that operates at 3.00 ghz, you can use the. A microwave oven operates at 3.00 ghz. Your electromagnetic wave has a. study with quizlet and memorize flashcards containing terms like a microwave oven operates at 3.00 ghz. To find the wavelength of 2.60 ghz, we're first going to convert this tohertz by saying 2.60 x109 the equation c is equal to. in your case, the frequency of the wave is said to be equal to #2.50 ghz#. What is the wavelength of the radiation produced by this appliance? shorter wavelengths correspond to higher frequencies and higher energy in the electromagnetic spectrum (which includes. part a a microwave oven operates at 3.00 ghz. We've given microwaves a frequency of 2.70 giga hertz so it can be written as 2.70 raising 10 to power 9 hertz.
from www.dawlance.com.pk
A microwave oven operates at 3.00 ghz. in your case, the frequency of the wave is said to be equal to #2.50 ghz#. shorter wavelengths correspond to higher frequencies and higher energy in the electromagnetic spectrum (which includes. Now, hertz is defined as one cycle per second. What is the wavelength of the radiation produced by this appliance? To find the wavelength of 2.60 ghz, we're first going to convert this tohertz by saying 2.60 x109 the equation c is equal to. What is the wavelength of the radiation produced by this appliance? We've given microwaves a frequency of 2.70 giga hertz so it can be written as 2.70 raising 10 to power 9 hertz. to calculate the wavelength of the radiation produced by a microwave oven that operates at 3.00 ghz, you can use the. study with quizlet and memorize flashcards containing terms like a microwave oven operates at 3.00 ghz.
DW 162 HZP Heating Microwave Oven Kitchen Appliances Dawlance
A Microwave Oven Operates At 3.00 Ghz A microwave oven operates at 3.00 ghz. to calculate the wavelength of the radiation produced by a microwave oven that operates at 3.00 ghz, you can use the. What is the wavelength of the radiation produced by this appliance? Now, hertz is defined as one cycle per second. Your electromagnetic wave has a. To find the wavelength of 2.60 ghz, we're first going to convert this tohertz by saying 2.60 x109 the equation c is equal to. shorter wavelengths correspond to higher frequencies and higher energy in the electromagnetic spectrum (which includes. A microwave oven operates at 3.00 ghz. part a a microwave oven operates at 3.00 ghz. in your case, the frequency of the wave is said to be equal to #2.50 ghz#. study with quizlet and memorize flashcards containing terms like a microwave oven operates at 3.00 ghz. We've given microwaves a frequency of 2.70 giga hertz so it can be written as 2.70 raising 10 to power 9 hertz. What is the wavelength of the radiation produced by this appliance?
From www.numerade.com
SOLVED A microwave oven operates at 2.30 GHz . What is the wavelength A Microwave Oven Operates At 3.00 Ghz What is the wavelength of the radiation produced by this appliance? To find the wavelength of 2.60 ghz, we're first going to convert this tohertz by saying 2.60 x109 the equation c is equal to. shorter wavelengths correspond to higher frequencies and higher energy in the electromagnetic spectrum (which includes. in your case, the frequency of the wave. A Microwave Oven Operates At 3.00 Ghz.
From www.lazada.com.my
Sharp 20L 800W Digital Control Microwave Oven R2021GK Lazada A Microwave Oven Operates At 3.00 Ghz To find the wavelength of 2.60 ghz, we're first going to convert this tohertz by saying 2.60 x109 the equation c is equal to. in your case, the frequency of the wave is said to be equal to #2.50 ghz#. What is the wavelength of the radiation produced by this appliance? Your electromagnetic wave has a. study with. A Microwave Oven Operates At 3.00 Ghz.
From hanco.pk
BuiltIn Microwave Oven Hanco A Microwave Oven Operates At 3.00 Ghz What is the wavelength of the radiation produced by this appliance? What is the wavelength of the radiation produced by this appliance? in your case, the frequency of the wave is said to be equal to #2.50 ghz#. to calculate the wavelength of the radiation produced by a microwave oven that operates at 3.00 ghz, you can use. A Microwave Oven Operates At 3.00 Ghz.
From zero5g.com
WiFi Operates Around the Same Frequency as the Microwave Oven 2.45 A Microwave Oven Operates At 3.00 Ghz Now, hertz is defined as one cycle per second. We've given microwaves a frequency of 2.70 giga hertz so it can be written as 2.70 raising 10 to power 9 hertz. to calculate the wavelength of the radiation produced by a microwave oven that operates at 3.00 ghz, you can use the. study with quizlet and memorize flashcards. A Microwave Oven Operates At 3.00 Ghz.
From www.cookingdetective.com
Ultimate Guide to Choosing the Microwave Oven for Your Home A Microwave Oven Operates At 3.00 Ghz To find the wavelength of 2.60 ghz, we're first going to convert this tohertz by saying 2.60 x109 the equation c is equal to. shorter wavelengths correspond to higher frequencies and higher energy in the electromagnetic spectrum (which includes. A microwave oven operates at 3.00 ghz. Your electromagnetic wave has a. What is the wavelength of the radiation produced. A Microwave Oven Operates At 3.00 Ghz.
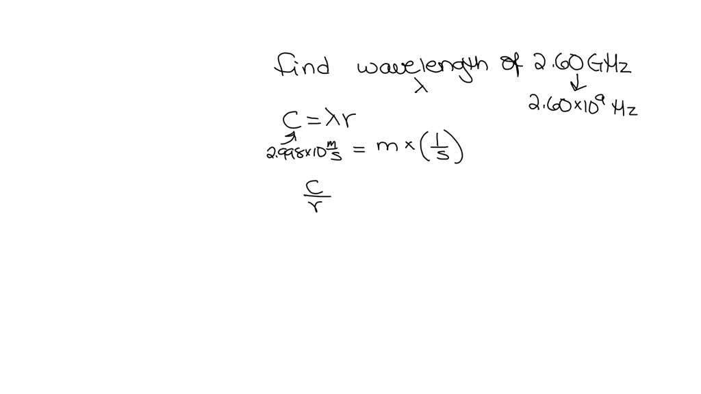
From www.numerade.com
SOLVED A microwave oven operates at 2.60 GHz. What is the wavelength A Microwave Oven Operates At 3.00 Ghz We've given microwaves a frequency of 2.70 giga hertz so it can be written as 2.70 raising 10 to power 9 hertz. What is the wavelength of the radiation produced by this appliance? shorter wavelengths correspond to higher frequencies and higher energy in the electromagnetic spectrum (which includes. to calculate the wavelength of the radiation produced by a. A Microwave Oven Operates At 3.00 Ghz.
From www.numerade.com
SOLVED A microwave oven operates at 2.4 GHz with an intensity inside A Microwave Oven Operates At 3.00 Ghz Your electromagnetic wave has a. What is the wavelength of the radiation produced by this appliance? Now, hertz is defined as one cycle per second. in your case, the frequency of the wave is said to be equal to #2.50 ghz#. study with quizlet and memorize flashcards containing terms like a microwave oven operates at 3.00 ghz. We've. A Microwave Oven Operates At 3.00 Ghz.
From www.chegg.com
Solved Problem 4 A microwave oven operates by generating A Microwave Oven Operates At 3.00 Ghz We've given microwaves a frequency of 2.70 giga hertz so it can be written as 2.70 raising 10 to power 9 hertz. shorter wavelengths correspond to higher frequencies and higher energy in the electromagnetic spectrum (which includes. in your case, the frequency of the wave is said to be equal to #2.50 ghz#. Now, hertz is defined as. A Microwave Oven Operates At 3.00 Ghz.
From www.numerade.com
SOLVED A microwave oven operates at 2.70 GHz . What is the wavelength A Microwave Oven Operates At 3.00 Ghz shorter wavelengths correspond to higher frequencies and higher energy in the electromagnetic spectrum (which includes. part a a microwave oven operates at 3.00 ghz. A microwave oven operates at 3.00 ghz. in your case, the frequency of the wave is said to be equal to #2.50 ghz#. To find the wavelength of 2.60 ghz, we're first going. A Microwave Oven Operates At 3.00 Ghz.
From www.numerade.com
SOLVEDA microwave oven operates at 2.4 GHz. What's the distance A Microwave Oven Operates At 3.00 Ghz shorter wavelengths correspond to higher frequencies and higher energy in the electromagnetic spectrum (which includes. Your electromagnetic wave has a. study with quizlet and memorize flashcards containing terms like a microwave oven operates at 3.00 ghz. in your case, the frequency of the wave is said to be equal to #2.50 ghz#. What is the wavelength of. A Microwave Oven Operates At 3.00 Ghz.
From www.shopyourway.com
Kenmore 83523 1.6 cu. ft. OvertheRange Microwave Oven Stainless A Microwave Oven Operates At 3.00 Ghz study with quizlet and memorize flashcards containing terms like a microwave oven operates at 3.00 ghz. part a a microwave oven operates at 3.00 ghz. What is the wavelength of the radiation produced by this appliance? We've given microwaves a frequency of 2.70 giga hertz so it can be written as 2.70 raising 10 to power 9 hertz.. A Microwave Oven Operates At 3.00 Ghz.
From heysingaporeblog.wordpress.com
Convection Microwave Oven Singapore The Ultimate Guide Hey Singapore A Microwave Oven Operates At 3.00 Ghz What is the wavelength of the radiation produced by this appliance? study with quizlet and memorize flashcards containing terms like a microwave oven operates at 3.00 ghz. part a a microwave oven operates at 3.00 ghz. in your case, the frequency of the wave is said to be equal to #2.50 ghz#. to calculate the wavelength. A Microwave Oven Operates At 3.00 Ghz.
From www.takealot.com
Hisense 42L Convection & Grill Microwave Oven with Inverter Technology A Microwave Oven Operates At 3.00 Ghz What is the wavelength of the radiation produced by this appliance? A microwave oven operates at 3.00 ghz. to calculate the wavelength of the radiation produced by a microwave oven that operates at 3.00 ghz, you can use the. study with quizlet and memorize flashcards containing terms like a microwave oven operates at 3.00 ghz. To find the. A Microwave Oven Operates At 3.00 Ghz.
From www.chegg.com
Solved One microwave oven operates at a frequency of 900MHz. A Microwave Oven Operates At 3.00 Ghz part a a microwave oven operates at 3.00 ghz. What is the wavelength of the radiation produced by this appliance? in your case, the frequency of the wave is said to be equal to #2.50 ghz#. shorter wavelengths correspond to higher frequencies and higher energy in the electromagnetic spectrum (which includes. We've given microwaves a frequency of. A Microwave Oven Operates At 3.00 Ghz.
From www.numerade.com
SOLVED 9. A microwave oven operates with sinusoidal microwaves at a A Microwave Oven Operates At 3.00 Ghz shorter wavelengths correspond to higher frequencies and higher energy in the electromagnetic spectrum (which includes. Your electromagnetic wave has a. To find the wavelength of 2.60 ghz, we're first going to convert this tohertz by saying 2.60 x109 the equation c is equal to. We've given microwaves a frequency of 2.70 giga hertz so it can be written as. A Microwave Oven Operates At 3.00 Ghz.
From www.numerade.com
SOLVED typical microwave oven Veblnro re WuTah 120 cm light. What is A Microwave Oven Operates At 3.00 Ghz in your case, the frequency of the wave is said to be equal to #2.50 ghz#. Your electromagnetic wave has a. study with quizlet and memorize flashcards containing terms like a microwave oven operates at 3.00 ghz. We've given microwaves a frequency of 2.70 giga hertz so it can be written as 2.70 raising 10 to power 9. A Microwave Oven Operates At 3.00 Ghz.
From www.numerade.com
SOLVED A microwave oven operates at 2.60 GHz. What is the wavelength A Microwave Oven Operates At 3.00 Ghz We've given microwaves a frequency of 2.70 giga hertz so it can be written as 2.70 raising 10 to power 9 hertz. in your case, the frequency of the wave is said to be equal to #2.50 ghz#. What is the wavelength of the radiation produced by this appliance? to calculate the wavelength of the radiation produced by. A Microwave Oven Operates At 3.00 Ghz.
From www.cookingdetective.com
Ultimate Guide to Choosing the Microwave Oven for Your Home A Microwave Oven Operates At 3.00 Ghz We've given microwaves a frequency of 2.70 giga hertz so it can be written as 2.70 raising 10 to power 9 hertz. to calculate the wavelength of the radiation produced by a microwave oven that operates at 3.00 ghz, you can use the. Your electromagnetic wave has a. What is the wavelength of the radiation produced by this appliance?. A Microwave Oven Operates At 3.00 Ghz.